پاسخ فرکانسی سیستم های مکانیکی کامسول
آموزش کامسول پاسخ فرکانسی سیستم های مکانیکی کامسول
پاسخ فرکانسی سیستم های مکانیکی کامسول در یک مفهوم کلی، پاسخ فرکانسی یک سیستم نشان می دهد که چگونه برخی از ویژگی های سیستم به یک ورودی به عنوان تابعی از فرکانس تحریک پاسخ می دهد. هنگامی که در مورد پاسخ فرکانسی در COMSOL صحبت می کنیم، معمولاً منظور پاسخ خطی (یا خطی) به یک تحریک هارمونیک است. برای تولید یک منحنی پاسخ فرکانسی، باید یک جارو فرکانسی انجام دهیم. یعنی برای تعدادی فرکانس مختلف حل کنید. یک منحنی پاسخ فرکانسی، به طور کلی، تعدادی پیک متمایز را نشان میدهد که در فرکانسهای طبیعی سیستم قرار دارند. سیستم Single-DOF، بازبینی شده
جنبه های مختلف دینامیک یک سیستم تک DOF با میرایی ویسکوز در پست وبلاگ قبلی مورد بحث قرار گرفت. این فرکانسی است که در آن سیستم در صورت رها شدن از حالت تغییر شکل، زمانی که هیچ حالت دیگری وجود ندارد، ارتعاش می کند (با دامنه پوسیده) تحریک خارجی
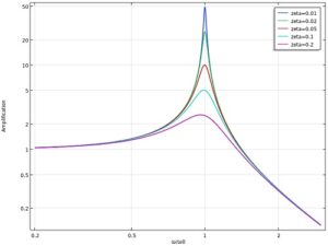
یک سوال جالب مطرح می شود: “کدام فرکانس تحریک حداکثر دامنه پاسخ را می دهد؟” شما انتظار دارید که دقیقاً فرکانس طبیعی میرایی باشد، اما همانطور که در زیر نشان خواهیم داد، اینطور نیست. که کمتر از فرکانس طبیعی میرایی است. در واقع، تغییر فرکانس دو برابر بزرگتر است.

این واقعیت که فرکانس تحریک که باعث حداکثر تقویت می شود با فرکانس ارتعاش آزاد منطبق نیست ممکن است یک پارادوکس به نظر برسد. آموزش کامسول این را می توان به تغییر فاز بین نیرو و جابجایی ناشی از میرایی نسبت داد. بدون میرایی، بار و جابجایی از حالت کاملاً در فاز زیر فرکانس طبیعی به 180 درجه خارج از فاز بالاتر از فرکانس طبیعی تغییر می کند. همانطور که در نمودار زیر نشان داده شده است، با میرایی، انتقال در تغییر فاز صاف است. صرف نظر از سطح میرایی، تغییر فاز در فرکانس طبیعی بدون میرا همیشه 90 درجه است. بلافاصله می توان مشاهده کرد که حداکثر دامنه در β = 1 رخ می دهد. یعنی در فرکانس طبیعی میرایی نشده. باز هم، حداکثر تقویت در فرکانس کمتر از فرکانس طبیعی میرا شده اتفاق می افتد.
تعریف جایگزین میرایی ضریب تلفات ذکر شده در پست وبلاگ قبلی این ویژگی را دارد که قدر مطلق سختی پیچیده مستقل از سطح میرایی است. این با استفاده از تعریفی به دست میآید که سختی مختلط را نرمال میکند به طوری که یک چرخش خالص در صفحه مختلط به دست میآید، تحلیلی که در اینجا حذف میشود افت متناظری را در فرکانس تحریک نشان میدهد که حداکثر تقویت را نشان میدهد به طوری که هنوز ثابت است. کمتر از فرکانس طبیعی میرا شده
تغییر فاز بین تحریک و پاسخ هنگام استفاده از میرایی ضریب تلفات بسیار جالب است: حتی در فرکانسهای تحریک بسیار پایین، هنوز یک تغییر فاز وجود دارد. مقدار مجانبی آن آرکتان (η) است.
نکته ای در مورد اصطکاک و آموزش comsol

هنگامی که اصطکاک بین دو سطح مکانیسم میرایی را تامین می کند، پاسخ به ورودی هارمونیک به دلیل غیرخطی بودن سیستم دیگر هارمونیک نیست. ممکن است هنوز یک پاسخ دوره ای، اما ناهارمونیک وجود داشته باشد. چنین مسائلی را نمی توان با روش های حوزه فرکانس حل کرد، که در آن فرض این است که رابطه ورودی-خروجی خطی است. تنظیم مطالعه
پس از افزودن یک رابط فیزیک مکانیک ساختاری در Model Wizard، تعدادی از انواع مطالعه به شما ارائه می شود که از چهار مورد می توان برای محاسبه پاسخ فرکانسی استفاده کرد:
آموزش کامسول دامنه فرکانس
آموزش comsol دامنه فرکانس، پیش تنیده
آموزش کامسول دامنه فرکانس، مدال
دامنه فرکانس، پیش تنیده، مدالدو مورد از مطالعات از رویکرد حل مستقیم و دو مورد از رویکرد برهم نهی حالت استفاده می کنند. در انواع تحلیل پیش تنیده، تغییر سفتی از پیش بار ثابت در نظر گرفته می شود. برهم نهی حالت برای تجزیه و تحلیل دامنه فرکانس بسیار مناسب است، زیرا انتخاب حالت های ویژه مناسب بر اساس فرکانس های داده شده آسان است.
در هر صورت، با ارائه فهرستی از فرکانس ها در تنظیمات مطالعه که پاسخ برای آن محاسبه می شود، یک جارو فرکانس انجام می دهید. اغلب، شما می خواهید فرکانس ها را در اطراف فرکانس های طبیعی سازه دسته بندی کنید

